Generic placeholder image I am a postdoc Fellow at the Mediterranean Institute for Advanced Studies (IMEDEA) working in coastal systems. My primary research interest is to understand how environmental factors or other ecological state changes affect the processes and mechanisms of coastal systems at different levels, from individuals to communities, and at different spatial and temporal scales. Most of my work focuses on marine macrophytes and fish communities and my research is motivated by dual goals of advancing ecological knowledge and influencing management decisions. To this end, I take an integrative perspective in physiology and ecology combining observational and experimental approaches, and modelling tools.
My current research is related to seagrass systems examining how ecological changes such as invasive species or human stressors affect them. Also, I am collaborating in a project looking at the dynamics and accumulation of microplastics in these systems.
In previous postdoctral positions I was using quantitative ecology to examine the environmental and ecological drivers of change in coastal communities and also on improving methods for monitoring marine biodiversity.
In my doctoral work at the Mediterranean Institute for Advanced Studies, I studied the effects that changes in environmental factors (e.g., eutrophication, warming and acidification) have on seagrass-herbivore interactions by examining a wide range of plant responses and at different plant life stages and how some of these changes influenced herbivore behavior. During my PhD I visited different research groups and institutions collaborating with international researchers and I try to extend this collaborative spirit everywhere I work.

I enjoy sharing my research with the public and inspiring students. I have participated in outreach activities such as lab open doors and women in science events and judged regional science fairs. Also, I am a scientist you can Skype in the skype a scientist program. For more information see my list of publications


Research Interests / Projects

Generic placeholder image

Seagrass meadows are essential marine habitats supporting rich biodiversity. They enhance water quality and are among the most efficient natural systems for carbon capture. As sensitive indicators of ocean health, they face growing threats from climate change and human activity. Since my PhD, seagrass has been the central focus of my research into resilient coastal ecosystems. Read more

Text Long. Show less

Seagrass Meadows

Spanish Spanish Spanish Spanish Spanish
Generic placeholder image

Marine ecosystems are dynamic environments that support diverse life through complex interactions among species, habitats, and ocean processes. They provide vital services like food, climate regulation, and coastal protection. With climate change, many are undergoing tropicalization—where warmer-water species shift poleward, altering ecosystem structure and function. Read more

Text Long. Show less

Ecosystems Variability

American Spanish
Generic placeholder image

The Marine Biodiversity Observation Network (MBON) brings together scientists and stakeholders to monitor marine life through standardized, open-access methods. It integrates biodiversity data across regions to support ecosystem-based management and conservation. MBON feeds into global platforms, helping inform policy and track changes in ocean health. Read more

Text Long. Show less

Marine Biodiversity Obs Network

American Spanish
Generic placeholder image

This project targets early detection and potential eradication of the invasive alga Rugulopteryx okamurae in the Balearic Islands, aiming to prevent its ecological and economic impacts already seen in Southern Europe. Its rapid spread, resilience, and harmful effects on biodiversity, fisheries, and tourism underscore the urgency of proactive management. Read more

Invasive species pose serious ecological, economic, and social threats. Among them, the brown alga Rugulopteryx okamurae, native to the northwest Pacific, has emerged as a powerful invader along the coasts of Southern Europe.

It is currently the only marine invasive species classified as of Union concern under EU Regulation 1143/2014, reflecting its unprecedented holistic impacts. Its rapid spread is facilitated by several biological traits including its reproductive strategy through clonal recruitment even in adverse conditions from both attached or free-floating thalli, its ability to colonize huge variability of substrata across wide distributional ranges, its ability to overgrowth and outcompete native species, its allelopathic mechanisms and the resilience of detached thalli. Therefore, the invasive potential of a single R. okamurae thallus is significant and this risk is greatly amplified by the presence of large amounts of drifting biomass along Spanish coasts. R. okamurae rapidly colonizes rocky bottoms and seagrass meadows, forming dense mats that significantly reduce benthic biodiversity.

This invasion has also had significant economic repercussions. For instance local fishers, are burdened with a serious economic challenge: its thick fronds entangle nets and fishing gear, complicating operations and increasing costs. The tourism sector is also affected, as large quantities of the alga frequently wash ashore. In Tarifa alone, over 40,000 tons were removed from beaches in 2024, with a minimum annual cost of over €3 million. Although R. okamurae has not yet been officially recorded in the Balearic Islands, its cryptic morphology, limited monitoring efforts, and the typically low densities during early invasion stages suggest that it may already be present but undetected. This project aims to actively search for R. okamurae in the region to enable early detection and, if found, implement eradication efforts during this critical early window, often the only chance for successful marine invasive species management. Show less

Rugulopteryx okamurae

American American American Spanish
Generic placeholder image

This project investigates how cross-shelf exchanges in the Southwest Atlantic—key drivers of ocean productivity and biogeochemical cycles—will respond to global warming. By using high-resolution ocean models to downscale CMIP projections, it aims to overcome current modeling limitations and improve predictions of future ocean circulation and ecosystem impacts. Read more

The "Projected Changes of the Southwest Atlantic Circulation" (P-SWAC) project is designed to deliver significant scientific, technical, social, and economic impacts. It addresses critical knowledge gaps in cross-shelf exchanges dynamics and their projected evolution. High-resolution models, a cornerstone of this project, will allow for unprecedented insight into regional dynamics and responses to climate change, surpassing the limitations of coarse-resolution models used in current CMIP simulations. These findings are expected to enhance regional and global ocean circulation models, contributing to improved climate projections and better understanding of ocean processes.

Social and economic impacts will also benefit regions dependent on the Southwest Atlantic. Understanding changes in circulation and biogeochemical processes is crucial for managing marine ecosystems, fisheries, and related industries. For instance, shifts in the Brazil/Malvinas Confluence already influenced fish stock distribution, affecting fisheries and food security. By providing scientific data and predictive tools, P-SWAC aims to guide policy-making, foster sustainable resource use, and enhance climate adaptation strategies.

The project’s broader relevance includes improving global ocean circulation models and CMIP simulations, enabling more accurate forecasts of projected oceanic changes globally. The P-SWAC project also includes a robust plan for scientific communication, dissemination, and international collaboration (primarily between Spain, the United States, and Argentina). Additional information, findings, and details on how to access the model data outputs generated in P-SWAC can be find here [link]. Show less

P-SWAC

Argentinean American Spanish

National and International Collaborations

Generic placeholder image

Students Current and Past Supervision and Mentorship

Generic placeholder image
Xesca Reynés F
Ph.D. 2000-...
Generic placeholder image
Andres Arona V.
M.S. 2000-...

Generic placeholder image
Jennifer McHenry
Ph.D. 2000-00
Generic placeholder image
Andrea Gros
M.S. 2000-00
Generic placeholder image
Julia Llinàs
M.S. 2000-00
Generic placeholder image
Adrián Daza
M.S. 2000-00
Generic placeholder image
Esther Rodríguez
M.S. 2000-00

My last 5 publications

Generic placeholder image

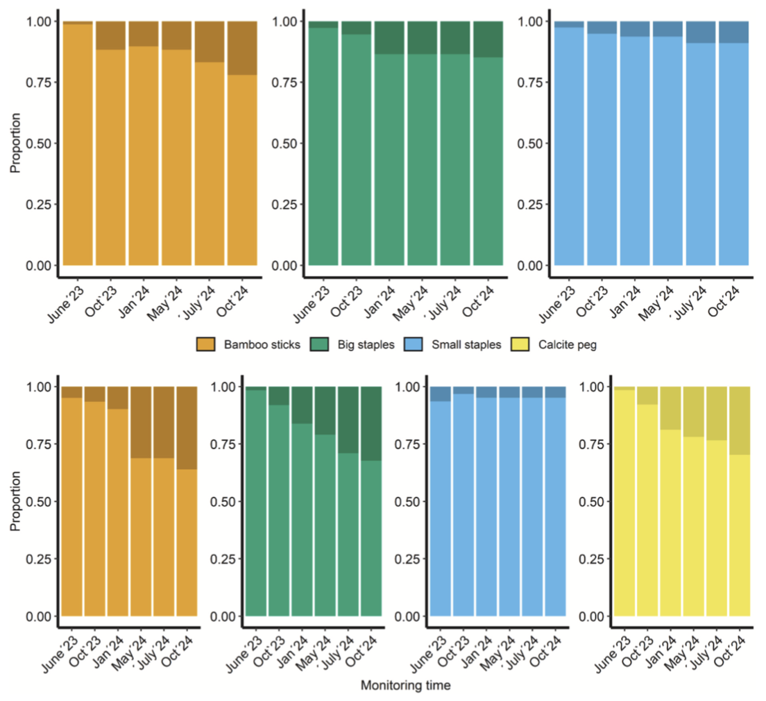
Abstract: Seagrass ecosystems face threats from multiple human-derived stressors that are causing the loss of these important habitats worldwide. Active restoration using innovative, cost-effective techniques, particularly with uprooted fragments that avoid damage to donor meadows, offers potential for recovery. However, non-ecological factors such as cost, logistics or supply are rarely considered but are essential for decision-making and implementation. This two-year study evaluates the feasibility and effectiveness of four anchoring techniques for securing uprooted Posidonia oceanica fragments to the substrate, integrating ecological success with feasibility to identify optimal methodologies. Experiments were conducted in two bays in Mallorca characterized by historical P. oceanica presence. Big staples, small staples, bamboo sticks and calcite pegs, were tested to fix fragments with plagiotropic rhizomes. Across sites, small staples and bamboo sticks supported high establishment success (94 %) while having a low carbon footprint, and ease of use. These methods effectively utilized smaller fragments, which are more commonly available, making them practical for large-scale projects. Although larger fragments may develop more new shoots, their limited availability restricts widespread application. As expected, shoot survival declined, a common patter observed early in P. oceanica restoration process, indicating that a two-year period is insufficient to fully assess long-term restoration success. Consistent performance across sites indicates broad applicability of these techniques in Mediterranean shallow, sheltered areas. Non-ecological indicators also highlight the socio-environmental benefits of bamboo sticks and small staples, making them well-suited for sustainable restoration. These findings underscore the need for a balanced, integrated approach that aligns ecological outcomes with efficiency metrics.


Generic placeholder image

Abstract: Silicon is a major driver of global primary productivity and CO2 sequestration, and is a beneficial element for the growth and environmental stress mitigation of many terrestrial and aquatic plants. However, only a few studies have examined the occurrence of silicon in seagrasses, and its function within seagrass ecosystems and the role of seagrasses in silicon cycling remain largely unexplored. This study uses for the first time two methods, the wet-alkaline digestion and the hydrofluoric acid digestion, to quantify silicon content in seagrass leaves using the species Zostera marina and elaborates on the potential role of silicon in seagrass biogeochemistry and ecology, as well as the role of seagrass ecosystems as a silicon reservoir. The results revealed that seagrass leaves contained 0.26% silicon:dry-weight, which is accumulated in two forms of silica: a labile form digested with the alkaline method and a resistant form digested only with acid digestion. These findings support chemical digestions for silicon quantification in seagrass leaves and provide new insights into the impact of seagrasses on the marine silicon cycle. Labile silica will be recycled upon leaf degradation, benefiting siliceous organisms, while refractory silica will contribute to the ecosystem’s buried silica stock and coupled carbon sequestration. In the Bay of Brest (France), the seagrass silicon reservoir was estimated at 0.18 ± 0.07 g Si m⁻2, similar to that of benthic diatoms, underscoring the potential role of seagrasses in silicon biogeochemistry in the land–ocean continuum, where they might act as a buffer for silicon transport to the ocean.


Generic placeholder image

Abstract: This paper describes an advanced methodology to monitor and assess, in temporal series, meadows of the seagrass Posidonia oceanica. The process includes, the following steps: (a) exploring marine regions of certain biological interest with Autonomous Underwater Vehicles equipped with cameras looking downwards, (b) taking images continuously during missions of preprogrammed trajectories, (c) processing the images off-line to build colour photomosaics, (d) segmenting seagrass from the background in every image using a pretrained Neural Network, (e) computing the same photomosaics but using the segmented images, and (f) computing automatically the bottom coverage of the seagrass counting the proportion of pixels labelled positively. This procedure avoids the involvement of divers, allows increasing depth, extension and duration of missions and offers 2D maps of the whole inspected areas in a single view, which allows us to get more accurate coverage measurements than those obtained with traditional techniques. Experiments have been performed with datasets collected in areas of the Balearic Islands colonized with P. oceanica seagrass and subject to low and high touristic and anchoring pressure during high season, repeating the same transects in consecutive years in order to obtain interannual results. Data obtained with this methodology permit a direct biological qualitative, quantitative and temporal analysis and interpretation, such as the percentage of temporal decline of seagrass coverage in some of the surveyed areas and the annual increase of the meadows extension in others.


Generic placeholder image

Abstract: Microplastic (plastics < 5 mm; MP) contamination in the marine environment has gained global attention due to its continuous accumulation and serious threats to ecosystems. This review evaluates patterns of MP accumu- lation in seagrasses, mangroves, and saltmarshes to provide an integrated view of MP pollution. Since 2011, studies have examined the sources, distribution, characterization, and fate of MPs in these habitats. We found an unequal geographic distribution with most studies conducted in the Northern Hemisphere and in mangroves, which have the highest MP concentrations compared to saltmarshes and seagrass beds, particularly near urban centers and fishing zones. Almost 40 % of the outcomes of our meta-analysis show a higher MP accumulation in vegetated than unvegetated sites. Also, degraded and highly-degraded sites exhibited higher amounts of MPs than less-degraded areas. In addition, secondary MPs are the dominant form, with less dense polymers (poly- ethylene, polystyrene, and polypropylene) being more abundant and blue, black, and transparent the most common colors. Methodological differences in reporting units, sampling depths, and extraction methods reduce study comparability and increase variability. This review provides a comprehensive understanding of MP research in coastal ecosystems, revealing critical knowledge gaps affecting MP distribution, such as vegetation density, diversity, and hydrodynamics, and emphasizes the need for standardized methodologies for accurate comparisons.


Generic placeholder image

Abstract: Seagrasses are marine flowering plants that create critical coastal ecosystems and are threatened by warming. Clonal expansion is generally the dominant strategy for meadow recovery, while sexual reproduction strongly differs among species (e.g., monoecious and diecious species, some creating seed banks, viviparous seedlings). In 2022, the Western Mediterranean underwent unprecedented warming, and, associated with it, we observed flowering (100 %) across 11 Posidonia oceanica meadows in Mallorca, Balearic Islands. Furthermore, 64 % of the sites also exhibited pseudovivipary, an extremely rare phenomenon in angiosperms whereby plantlets replace sexual reproductive structures, producing clones of the maternal plant. Our results support the notion that P. oceanica flowering and pseudovivipary (genetically confirmed) are triggered by warming, never before being pseudovivipary reported across multiple sites in a marine plant. Considering the negative impacts that warming can have on seagrasses, existence of widespread pseudovivipary is a critical aspect to consider for understanding mechanisms of resilience in seagrasses.


Generic placeholder image Generic placeholder image Generic placeholder image Generic placeholder image

Insitutions and funding agencies